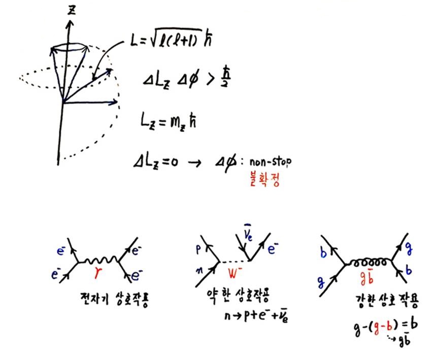
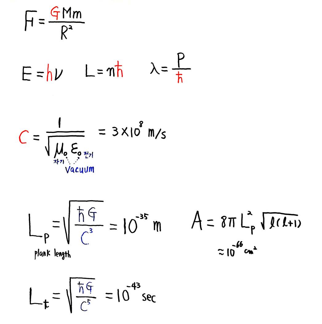
2019년, 제 1회 박문호 박사 특강 칠판 자료
– 일시: 2019년 8월 4일(일)
– 장소: 양재동 박자세 교육센터
– 주제 : 시간, 공간, 인과율 (양자역학과 상대성 이론)
– 첨부파일 : 제 1회 박문호 박사 특강-시간_공간_인과율 (양자역학과 상대성 이론)-20190804.pptx








2019년, 제 1회 박문호 박사 특강 칠판 자료
– 일시: 2019년 8월 4일(일)
– 장소: 양재동 박자세 교육센터
– 주제 : 시간, 공간, 인과율 (양자역학과 상대성 이론)
– 첨부파일 : 제 1회 박문호 박사 특강-시간_공간_인과율 (양자역학과 상대성 이론)-20190804.pptx








강의 잘 들었습니다. 칠판 정리도 일품이네요. 감사합니다.