본 노트의 내용은
2017년 7월 16일 건국대 법학관 101호 대강의실에서 진행된
제9회 137억년 우주의 진화 제 10강 (뉴턴의 만유인력부터 별의 진화까지)의 내용을 녹취한 것입니다.
우주를 주제로 진행된 이번 강의의 소주제별 내용은 다음과 같습니다.
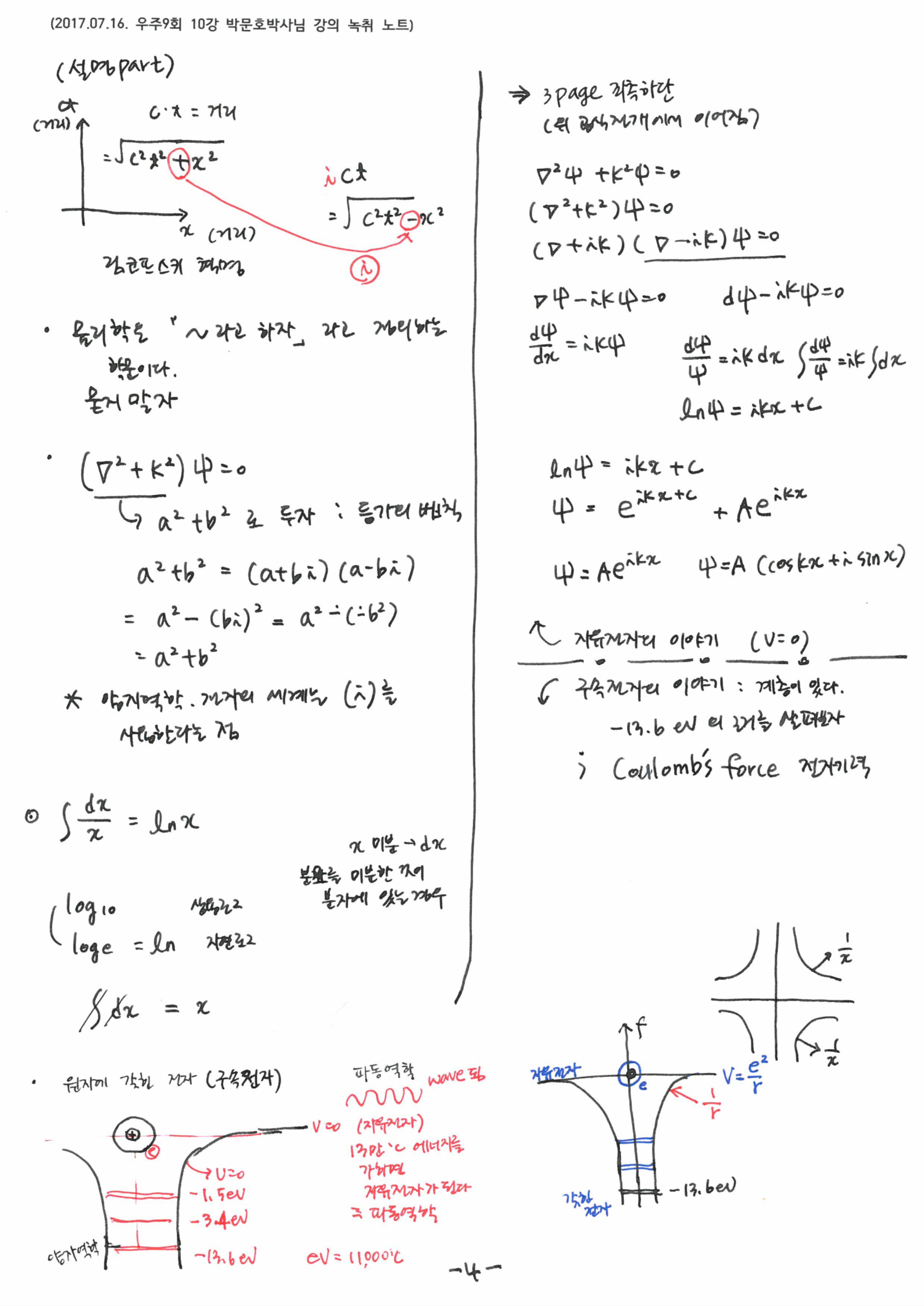
1. 물리학 필수암기공식 5
2. 양자역학
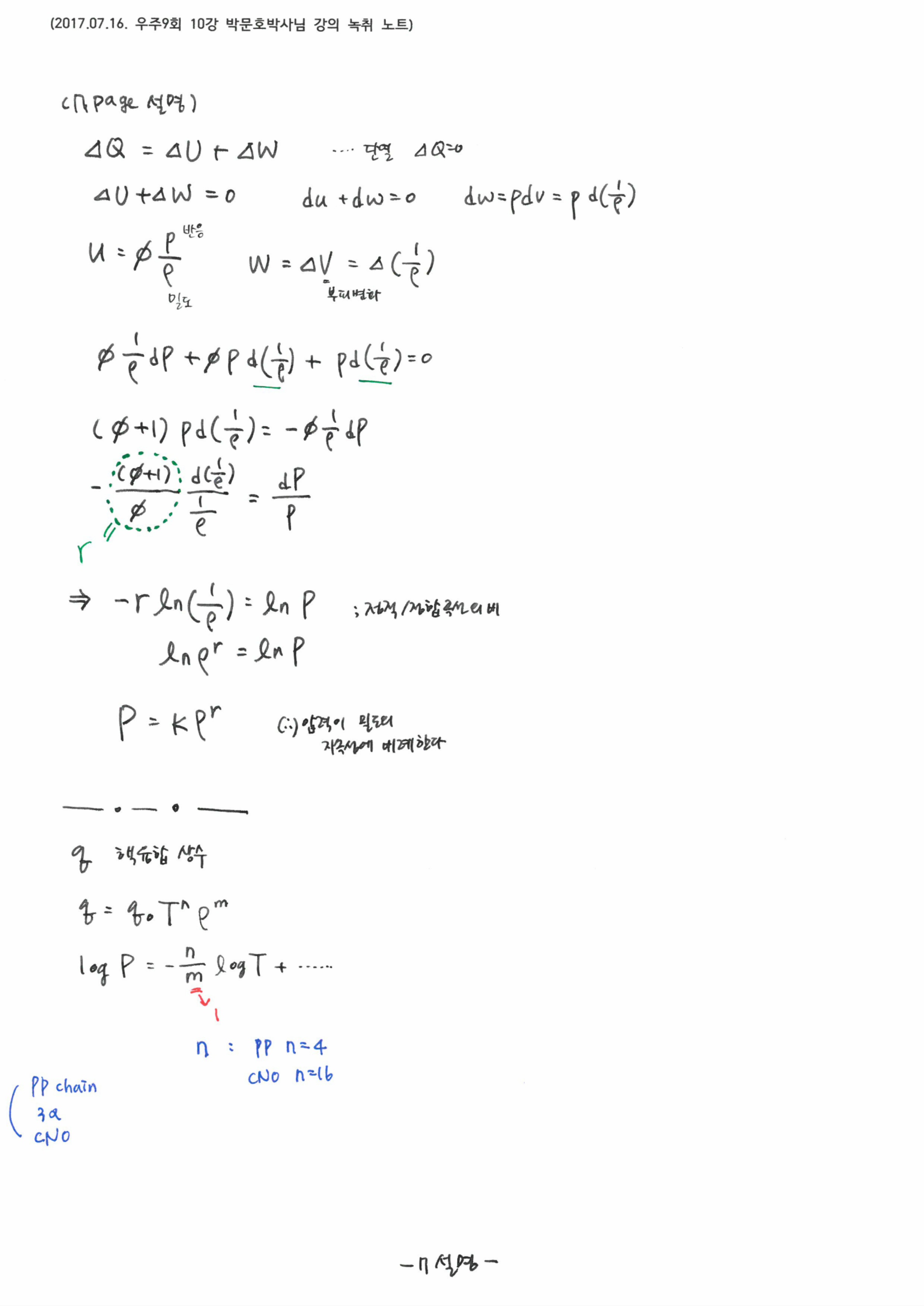
3. 밀도와 온도에 따른 항성의 진화
4. 태양의 진화
물리학을 공부하는데 필수공식 5개를 시작으로, “~라고 하자” 정의하는 것이 바로 물리의 세계라고 강조해 주셨습니다. 양자역학을 설명하는 공식을 전개하면서 결국 현재 자연과학의 시작은 바로 뉴턴임을 배웠고, 밀도와 온도에 따른 항성의 진화 및 태양의 진화 과정을 설명해 주셨습니다.
칠판자료가 핵심이며, 동영상 자료도 “꼭” 확인해 주시기 바랍니다.
첨부 : 137억년 우주-제10강. 뉴턴의 만유인력부터 별의 진화까지













[ 항성내부구조 및 진화] 7. 항성의 진화 – 개요적 설명
본문에 수록된 도표들을 첨부합니다. 전체 항성의 진화과정을 설명해 주신 도표와 관련됩니다.
(그림 1)은 모든 항성들이 존재할 수 있는 4가지 상태방정식 영역과 방정식 입니다.
(그림 2)는 5가지 핵융합과정의 곡선입니다.
(그림 3)은 안정 혹은 불안정 영역입니다. 감마가 4/3보다 작으면 불안정영역이라고 배웠습니다.
(그림 4)는 질량이 다른 항성들의 운명선입니다.
(그림 5)는 그림 1~4의 내용을 한 도표에 조합한 항성 진화 개요도입니다.
(홈페이지가 다운되면서 이전에 업로드했던 댓글들이 안보여서 다시 올립니다.)
강의 중 추천해 주셨던 도서 2권입니다.
유니버스 (우주의 궁극적 실체를 찾아가는 수학적 여정) 맥스 테그마크 저 / 동아시아
항성내부구조 및 진화. Dina Prialnik 지음 / 청범출판사
[오타수정]
1page : 핵융합연구소 이경수 소장님
제5회 137억년 우주진화 강의도 참고하시면 좋을 것 같습니다.
이번 강의에서 시간상 다루어주지 못하셨던 풀이과정 등이 더 자세히 설명되어 있습니다.
제5회 137억년 우주진화 5강 – 양자역학
http://mhpark.or.kr/index.php?document_srl=112735
제5회 137억년 우주진화 7강 – Star
http://mhpark.or.kr/index.php?document_srl=114115