진공의 요동은 그럭저럭 수시로(공짜로 ! 세상에) 우주를 만들어 내지만
크사이, 프사이, 엘, 씨엘, 에이, 오일러, 라그랑지안, 볼츠만, 지오데식, 베셜펑션….의 요동은 아름다운 그림을 만들어 냅니다.
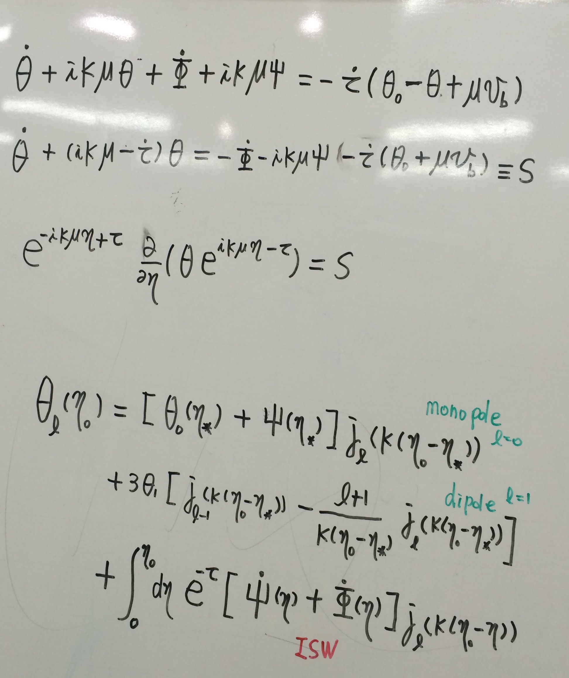
※ 박문호 박사님께서 지난 5월 23일 강의하신 ‘제8회 137억년 우주의 진화’ 4강 칠판 사진입니다.


진공의 요동은 그럭저럭 수시로(공짜로 ! 세상에) 우주를 만들어 내지만
크사이, 프사이, 엘, 씨엘, 에이, 오일러, 라그랑지안, 볼츠만, 지오데식, 베셜펑션….의 요동은 아름다운 그림을 만들어 냅니다.
※ 박문호 박사님께서 지난 5월 23일 강의하신 ‘제8회 137억년 우주의 진화’ 4강 칠판 사진입니다.

