제 6회 137억년 우주의 진화 4강중 힉스메카니즘 풀이 내용입니다.
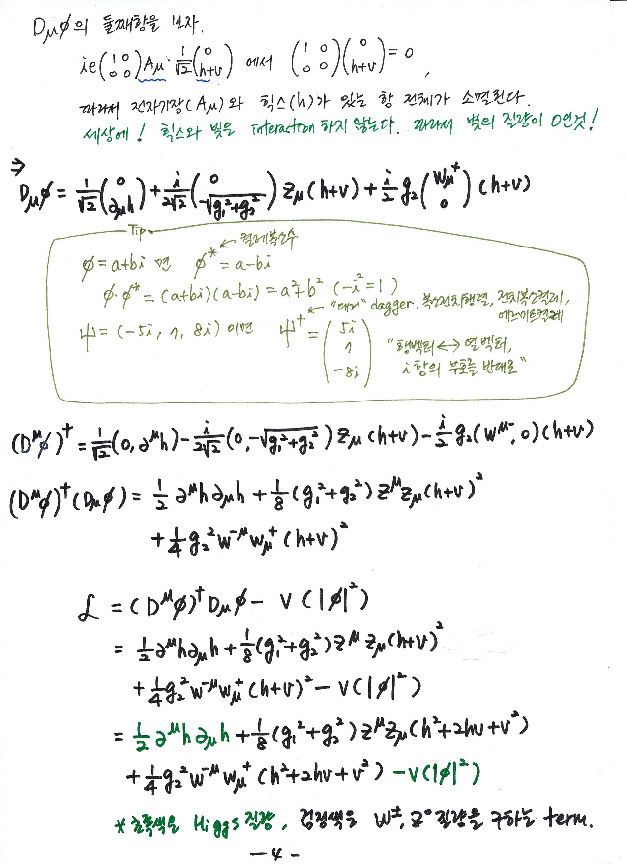
Z입자와 W입자의 질량을 구하는 과정입니다.
어떻게 이 모든 것이 생겨났는지를. .
그 이치를 이렇게 알 수 있다는 것이 차마 믿기지 않습니다.
바로 이 시공간에 있게되어 이를 알게 된 것이 한없이 감사할 따름입니다.




제 6회 137억년 우주의 진화 4강중 힉스메카니즘 풀이 내용입니다.
Z입자와 W입자의 질량을 구하는 과정입니다.
어떻게 이 모든 것이 생겨났는지를. .
그 이치를 이렇게 알 수 있다는 것이 차마 믿기지 않습니다.
바로 이 시공간에 있게되어 이를 알게 된 것이 한없이 감사할 따름입니다.




감싸 ~!!!
역시 김현미 상임이사님이십니다!