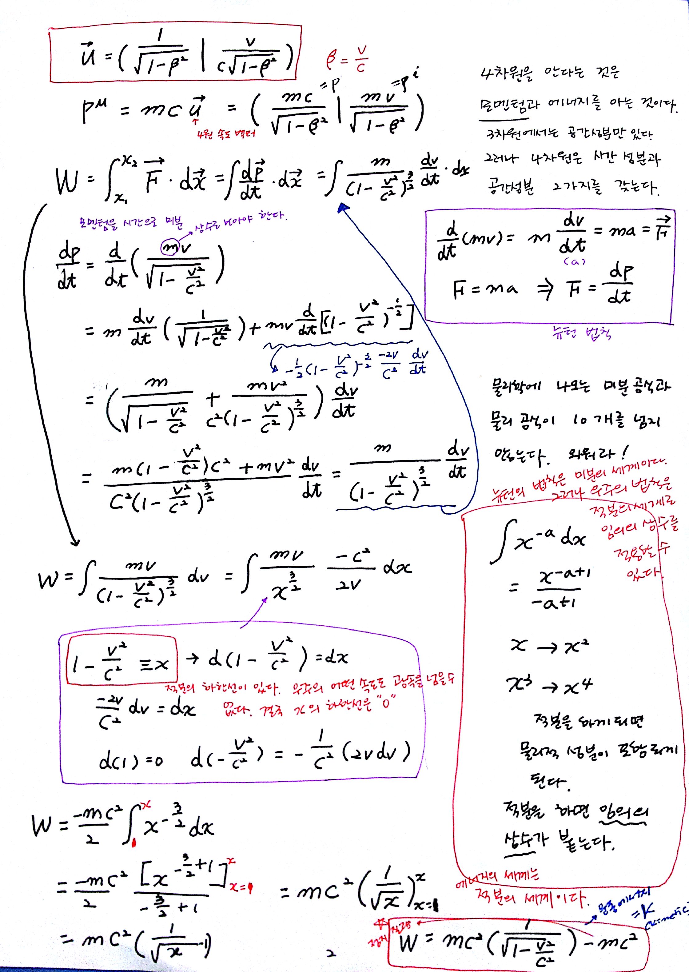
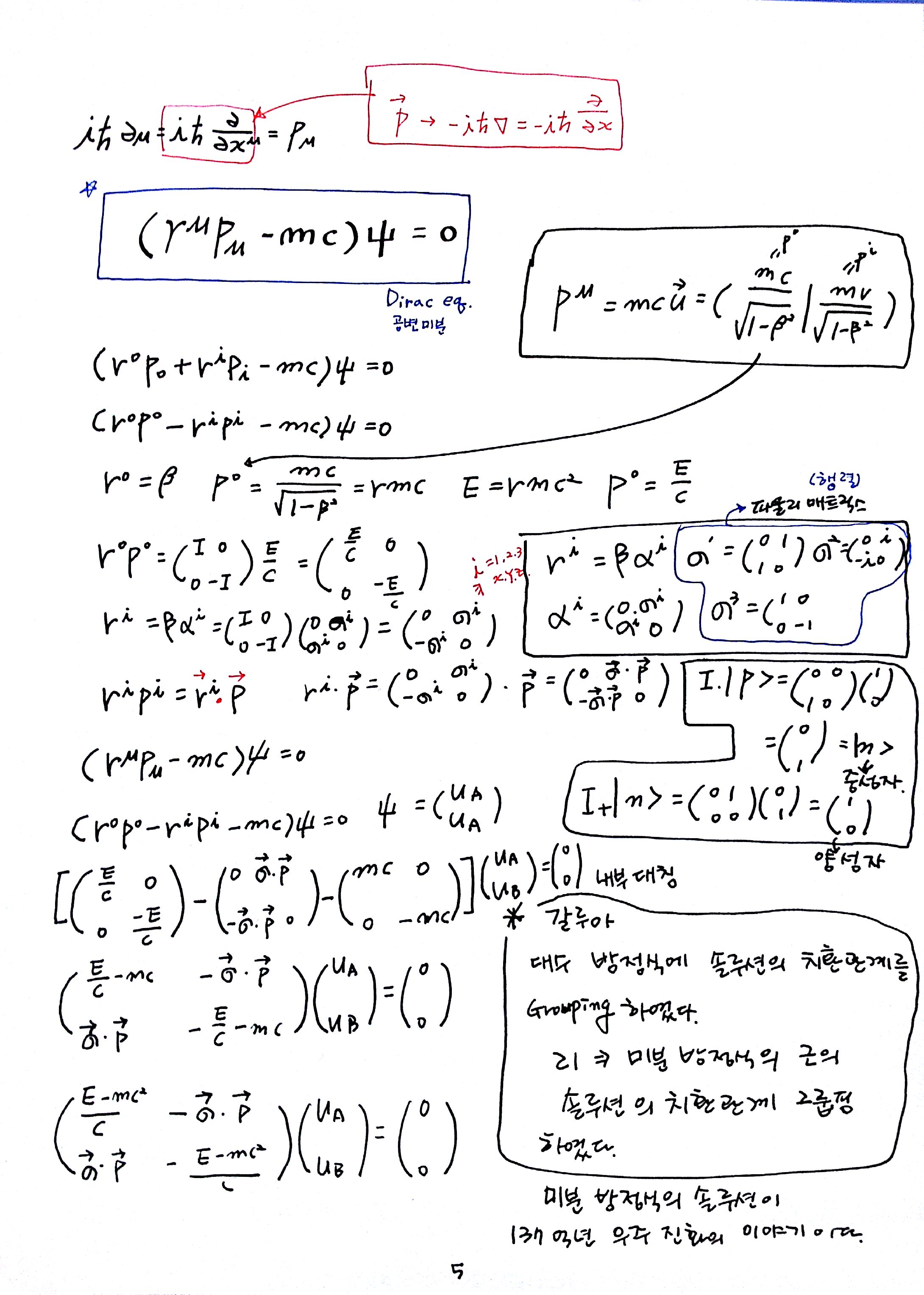
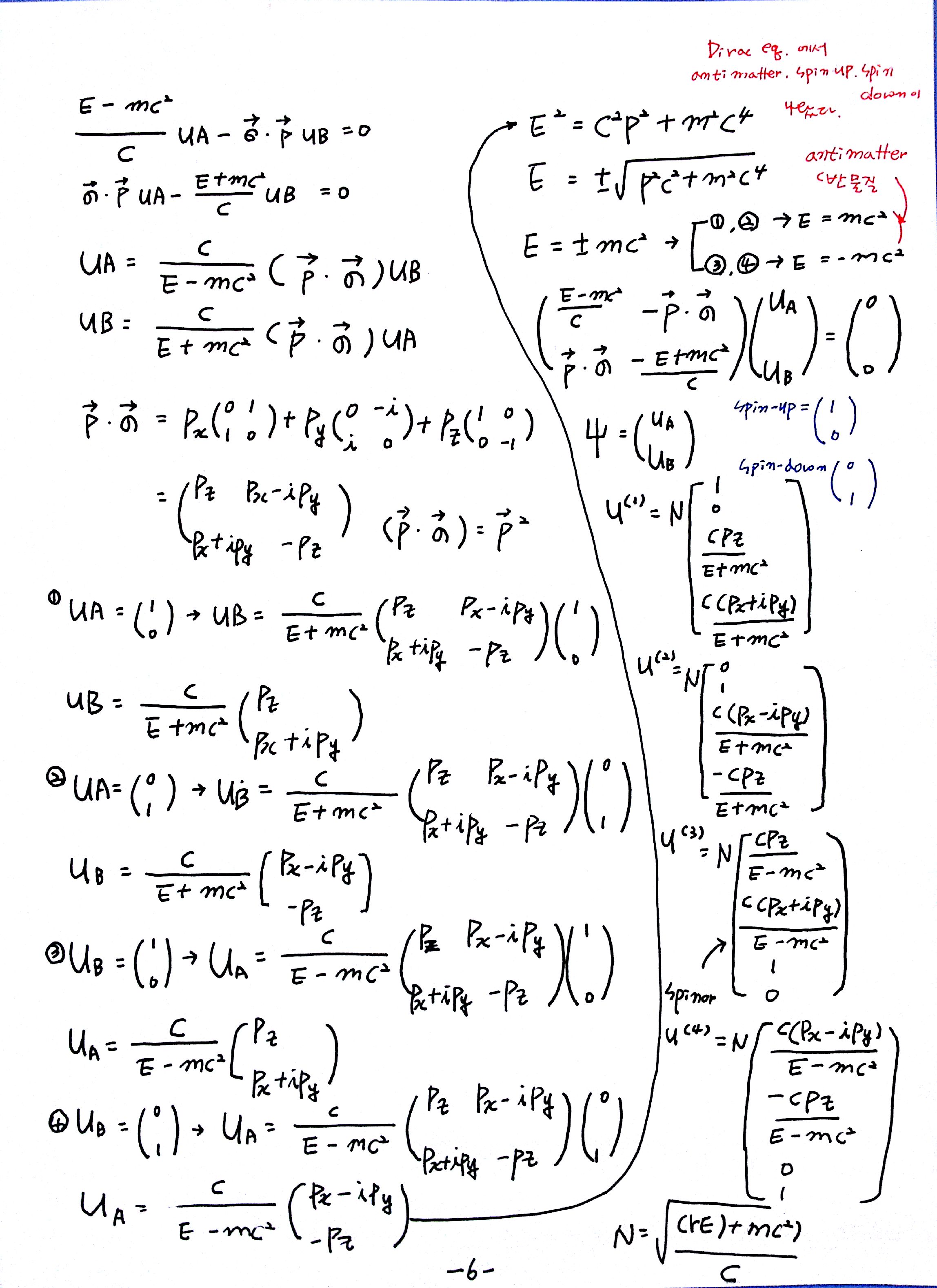
제 5회 137억년 우주 진화 3강 -4차원 위치 벡터, 속도 벡터
이 노트는 2013년 04월 07일 건국대학교 법학관에서 있었던 제 5회 137억년 우주진화
3강 – 4차원 위치 벡터와 속도 벡터에 대한 박문호 박사의 강의 내용을 녹취한 내용입니다.
설명과 수식, 그림 모두가 박문호 박사의 강의를 그대로 옮긴 것입니다.









제5회 137억년 우주진화 3강-4원 위치벡터, 속도벡터.pdf
제 5회 137억년 우주 진화 3강 -4차원 위치 벡터, 속도 벡터
이 노트는 2013년 04월 07일 건국대학교 법학관에서 있었던 제 5회 137억년 우주진화
3강 – 4차원 위치 벡터와 속도 벡터에 대한 박문호 박사의 강의 내용을 녹취한 내용입니다.
설명과 수식, 그림 모두가 박문호 박사의 강의를 그대로 옮긴 것입니다.









제5회 137억년 우주진화 3강-4원 위치벡터, 속도벡터.pdf
솔다렐라 노트를 보면 항상 감탄사가 절로 나옵니다.
하지만 강의실에서 보면 펜끝에 담겨진 정성이 그래로 옮겨졌다는 걸 금새 알수 있지요.
고맙습니다.
엎드려 절 올려요.. 노트 감사합니다.
4차원 위치 벡터 하나로 모든 것이 설명 가능하다.
과학은 한 번도 신비한 것을 감춘 적이 없다.
항상 드러냈는데, 우리가 엉뚱한 곳을 보고 있었다.
공부하면 할수록 신비가 사라진다.
표현한 것이 위대하다.
박사님께서 하신 말씀들이 다시 떠오릅니다.
솔다렐라님, 이렇게 표현해 주셔서 감사합니다.
고마운 것도 역시 표현해야 알 수 있습니다.^^